















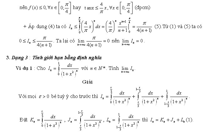
Tôi là nhà toán học. Toán học đầy ắp cuộc đời tôi.Laurent Schwartz viết như vậy trong lời mở đầu cuốn hồi ký của ông. Ông cũng nói rằng, ngoài toán học, ông giành rất nhiều thời gian của đời mình cho cuộc đấu tranh vì quyền con người, vì quyền của các dân tộc, ban đầu thì như một người Troskit, sau đó thì đứng ngoài tất cả các đảng phái! Việt Nam chiếm một vị trí quan trọng trong các hoạt động đó của ông. Trong nhiều năm, ông luôn đứng hàng đầu trong đội ngũ những trí thức lớn của Phương Tây đấu tranh ủng hộ cuộc kháng chiến của nhân dân Việt Nam. Trong cuốn hồi ký dày 500 trang của ông, có thể tìm thấy khoảng 100 trang có nhắc đến Việt Nam.

“Tôi chưa có học sinh nào giỏi như vậy về môn tiếng Latinh, nhưng về tiếng Pháp, ngôn ngữ và toán thì cậu ta kém hơn một chút. Tuy vậy, cho dù người ta nói với bà thế nào đi nữa, cậu ta sẽ trở thành nhà toán học!”. Laurent Schwartz nói rằng, nếu không có lời khuyên của ông thầy dạy văn đó thì có lẽ ông đã trở thành nhà ngôn ngữ học, chứ không phải nhà toán học! May mắn nữa cho Laurent là cậu gặp một thầy giáo dạy toán đầy nhiệt tâm, thầy Julien. Ông đã giải thích cho học sinh một cách rất vui vẻ và đơn giản những điều kì diệu của môn hình học, mở ra cho họ một thế giới toán học mà trước đó họ chưa được biết đến. Laurent Schwartz kể lại rằng, sau khi suy nghĩ vài ba tuần, ông quyết định trở thành nhà toán học. Theo ông, thiên hướng đó có sẵn trong con người ông, nhưng đã trở thành hiện thực nhờ thầy giáo. Vì thế ông cho rằng, vai trò của người thầy đối với tương lai học sinh là có ý nghĩa quyết định.

(1) Năm 2008, khi ông đưọc giải thưởng Shock của viện Hàn Lâm Thuỵ điển, ông nói rằng giải Fields, giải Wolf, và giải Abel là ba giải quan trọng nhất trong toán học. Khi đó ông có nghĩ ông sẽ được một trong những giải này không ?
Tôi muốn sửa lại ý kiến của mình: bây giờ tôi chỉ nghĩ giải Fields và giải Wolf là hai giải quan trọng nhất thôi. Tôi hoàn toàn ngạc nhiên về giải Abel. Giải thưởng này được tuyên bố đúng trưa ngày thứ tư, và tôi được gọi diện lúc 11 giờ kém năm. Đúng trưa thì ông trưởng ban giải thưởng tuyên bố tôi được giải và một người khác đọc một bài phát biểu về các công trình của tôi. Ông này được thông báo bốn ngày trước đó, tức là ông ấy biết trước tôi.
(2) Người đó là ông Gowers, người đã đưa ra một cách chứng minh khác cho định lý Szemeredi.
Ông Gowers đã chứng minh một kết quả mạnh hơn, và phương pháp của ông ấy, chẳng hạn như Gowers norm, hiện nay trở thành rất quan trọng trong một số lĩnh vực của toán học.
(3) Giải thưởng được tặng cho những công trình của ông trong toán rời rạc (tổ hợp) và lý thuyết tính toán. Ông có thể giải thích một cách đơn giản toán rời rạc là gì không ?
Toán rời rạc nghiên cứu cấu tạo của những tập hữu hạn. Một ví dụ rất đơn giản là sổ xố: Có bao nhiêu cách đế lấy ra 5 số từ một tập 90 số. Trong câu hỏi này các dữ liệu đều là hữu hạn. Tất nhiên sự phân biệt này giữa toán rời rạc và liên tục cũng đã được đơn giản hoá rất nhiều. Giữa hai lĩnh vực luôn có sự hợp tác, tương trợ lẫn nhau. Ý tưởng từ lĩnh vực nọ co thể dùng trong lĩnh vực kia và ngược lại.
Trong các tập rời rạc, ta thường quan tâm tới những cấu trúc đẹp. Câu hỏi có tầm quan trọng đặc biệt là trong những điều kiện nào thì những cấu trúc này sẽ tồn tại. Một phenomenon thường thấy ở đây là ta có thể tìm được cấu trúc đẹp trong một hệ thống hoàn toàn hỗn loạn.
(4) Ông có thể cho một ví dụ ?
Chẳng hạn bạn lấy 6 điểm và nối chúng với nhau bằng những đoạn thẳng đỏ hoặc xanh. Dù cho bạn có tô mầu kiểu gì đi chăng nữa, bao giờ bạn cũng tìm được một tam giác có ba cạnh cùng màu. Trường hợp tổng quát của hiện tượng này, được gọi là bài toán Ramsey, đã tồn tại hơn 80 năm, nhưng lời giải của nó còn rất xa chúng ta.
(5) Phương pháp nghiên cứu của ông như thế nào ?
Tôi thường tìm một vấn đề và suy nghĩ về nó trong một thời gian dài. Tôi suy nghĩ chậm chạp và thường là thất bại, thỉnh thoảng mới có một thành công. Nhưng đây cũng là chuyện thường trong toán học. Phần lớn các nhà toán học biết những vấn đề quan trọng là vấn đề nào, và thường nhiều người suy nghĩ trên cùng một vấn đề, nhưng số vấn đề chưa được giải quyết vẫn còn rất nhiều.
Tất nhiên trong toán học bây giờ, 2, 3,4 người có thể cùng làm việc với nhau trên cùng một câu hỏi. Gần đây, có một phong cách mới, khởi đầu bởi Gowers, là Polymath. Ông ấy post một số bài toán nổi tiếng trên internet, sau đó tất cả những ai quan tâm có thể tham gia nghiên cứu và trao đổi on-line. Chương trình này đã có một vài thành công đánh kể. Trong hai tháng, họ đã tìm được lời giải tương đối đơn giản cho một bài toán nổi tiếng mà ông Furstenberg (giải thưởng Wolf) đã nghiên cứu trong vòng 30 năm. Polymath có thể là phương pháp nghiên cứu của tương lai, nhưng không phải ai cũng ủng hộ nó. Người ta rất khó chấp nhận khi lao động cả đời trên một vấn đề, và tự nhiên hàng trăm nhà toán học cùng đổ tới một lúc và giải quyết nó nhanh gọn. Ngoài ra, trong những trường hợp nhiều người như vậy, authorship cũng là một vấn đề cần bàn cãi.
(6) Ông có liên quan gì đến project Polymath này không ?
Không. Thường tôi làm việc với một hai người, hoặc một mình. Ngoải ra tôi không biết dùng máy tính, mặc dù theo biên chế tôi là giáo sư ở khoa máy tính (tại Rutgers) chứ không phải khoa toán. Tôi có thể chứng minh được là vợ tôi trả lời tất cả các email của tôi. Tôi có đọc chúng, nhưng không biết sử dụng máy tính thế nào cả.
(Lời người dịch: Ngoài ra ông Endre không biết dùng tex, và thường gọi computer là calculator. Nếu bà Anna không trả lời email thì là một trong các học trò của ông ấy.)
(7) Tạo sao ông không học dùng máy tính ? Ông không thích nó à ?
Không. Đơn giản chỉ là tôi quá ngốc thôi. Tôi chẳng hiểu nó hoạt động thể nào cả. Tôi có thể hiếu được internet, vì ta có thể model nó như một cái đồ thị. Nhưng máy tính, ngôn ngữ lập trình, search internet, tôi chẳng biết gì hết. Ngoài ra tôi hoàn toàn bất lực với camera, chưa bao giờ tôi biết chụp ảnh như thế nào. Tôi không biết bật DVD, nếu bà vợ tôi không bật phim cho tôi hay bọn cháu không sang giúp thì tôi chỉ có ngồi nhìn thôi.
(8) Ông có theo dõi những lý thuyết được xây dựng từ những kết quả của ông ?
Có một phần. Tôi rất vui mứng khi thấy nhiều hướng nghiên cứu được nảy sinh từ một số công trình tôi viết cách đây 30-40 năm, trong đó có những lý thuyết mà tôi hoàn toàn không hiểu, như lý thuyết ergodic. Tôi không nghĩ rằn những công trình của tôi trở nên quan trọng đến thế. Chẳng hạn gần đây Green và Tao chứng minh một định lý lớn về sự tồn tại của cấp số cộng có độ dài bất kỳ trong dãy số nguyên tố. Thường những vấn đề như vậy được nghiên cứu bởi nhưng chuyên gia về giải tích số, một lĩnh vực rất xa chuyên môn của tôi. Tôi rất ngạc nhiên là vấn đề này lại được giải quyết bằng số học tổ hợp, và tôi không cảm thấy mình có vai trò lớn trong việc này. Phần lớn những định lý như vậy được chứng minh vì những người nghiên cứu nó thông minh hơn tôi rất nhiều. Nó cũng như việc xây dựng một lâu đài. Những người ở dưới xây lên một vài bức tường đơn giản, và bên trên nó những cấu trúc lộng lẫy sẽ mọc lên. Tôi chỉ dựng một vài bức tường mà thôi. (Lời người dịch: Bức tường của Szemeredi nói vậy không đơn giản chút nào, chứng minh của nó hơn 50 trang và chỉ co ít người hiểu thôi; sau đó có những chứng minh khác dễ hiểu hơn như của Furstenberg. Định lý Szemeredi là Lemma chủ chốt trong chứng minh của Green và Tao.)
Ngoài ra người ta cũng viết rằng có nhiều ứng dụng, thuật toán liên quan tới nghiên cứu của tôi. Tôi có làm việc trong lý thuyết đồ thị ngẫu nhiên (random graph theory), và một số nhà khoa học nổi tiếng, Bollobass, Lovasz, Szegedi, chỉ nói tới những người Hung thôi, đã phát triển thêm kết quả của tôi, và tiến tới những câu hỏi rất sâu về cấu tạo của những đồ thị rất phức tạp, chẳng hạn như mạng internet. Tôi cũng muốn nhắc tới ở đây một người gốc Hung khác, ông Barabasi, người đã làm lĩnh vực nghiên cứu này trở nên đại chúng.
(9) Ông chỉ bắt đầu nghiên cứu toán vào tuổi 22, tại sao ?
Nghe lời bố, tôi theo ngành y đầy tiên. Nhưng chỉ sau một thời gian ngắn tôi nhận thấy nó không thích hợp với tôi. Tôi không chắc là tôi có thể làm được một công việc mang tính trách nhiệm cao như vậy. Và ngoài ra còn phải học nhiều nữa, mà cái này thì tôi rất kém. Tôi bỏ học sau một học kỳ và đi làm ở một nhà máy. Sau đó, qua lời khuyên của một người bạn, tôi vào trường Etvos Lorand học toán. Tôi cũng không tha thiết lắm cho đến cuối năm thứ hai, khi Turan có một loạt bài giảng tuyệt vời về lý thuyết số. Sau đó tôi gặp các giáo sư Erdos và Hajnal, là những chuyên gia hàng đầu về toán rời rạc.
Ông Erdos không phải giáo sư của tôi theo kiểu ông Turan, người giảng bài và mang sách cho tôi đọc. Ông Erdos đặt câu hỏi. Thường thì những câu hỏi của ông ấy không cần nhiều kiến thức để hiểu và để giải. Nhưng bạn cần phải suy nghĩ rất sâu và rất lâu, và tìm ra những ý tưởng mới. Ông ấy quả là một người rất có tài năng trong việc mang tới những vấn đề mới đầy thú vị. Có rất nhiều giả thuyết Erdos nổi tiếng.
Tôi nhầm hai chữ cái (tiếng Nga) “o” và “a”. Tôi muốn học với ông Gelfond vì ông ấy cùng hướng với ông Turan. Nhưng khi tôi nhận ra sự nhầm lẫn thì đã quá muộn. Ở thời đó, chuyển người hướng dẫn là rất khó, nhất là khi hai ông này làm việc ở hai viện nghiên cứu khác nhau. Thật thà mà nói, tôi chẳng hiểu gì những cái ông Gelfand và nhóm của ông ấy làm cả, đó là một kiểu toán khác hẳn, ngay cả những sinh viên 20 tuổi của ông ấy cũng biết hơn tôi nhiều.
(12) Thế tại sao ông vẫn ở chỗ ông Gelfand hơn hai năm ?
Tại vì hồi đó người ta qui định phải làm nghiên cứu sinh trong 3 năm, mà tôi thì lúc nào cũng theo luật. Cuối cùng tôi cũng viết một luận án, về toán rời rạc. Ông Gelfand cho phép tôi không tham gia gì đến những cái ông và học trò ông ấy làm, và muốn viết gì thì viết. Trong con mắt ông ấy tôi là một cậu học trò người Hung với những ý định tốt nhưng không có khả năng hiểu toán học hiện đại.
(Lời người dịch: Bác Gelfand sau đó tái ngộ Szemeredi tại Rutgers. Khi đã ngoài 70, Gelfand rời Nga và nhận một position tại Rutgers. Tại sao lại có cái position này cũng là chuyện rất ly kỳ, nhưng xin kể ở nơi khác. Chuyện Gelfand seminar cũng rất hay.)
Cuối năm thứ nhất của tôi thì ông Gelfond (với chữ “o”) đến Hung dự một hội nghị tại Debrecen và tôi được chỉ định đi theo ông ấy như một sinh viên biết nói tiếng Nga. Nhưng tiếng Nga thì tôi thi trượt ở đại học hai lần. Tôi chẳng có chủt năng khiếu về ngoại ngữ nào hết. Lần thi thứ ba, tôi pass với điểm vớt (D), nhưng sự thật là chỉ vì tôi đã mua một bó hoa hồng ở chợ trời tặng bà giáo sư hỏi thi mà thôi.
Cuối cùng tôi cũng gặp Gelfond, với cái vốn tiếng Nga không khá khẩm gì của mình. Ông gíáo sư đáng kính ấy được giao một nhiệm vụ vinh quang và cay đắng là mua quần áo và giầy cho vợ và con gái (hồi đó hàng, chẳng hạng như giầy cao gót, ở Liên Bang Xô Viết rất hiếm–cái này chắc bạn đọc người Việt hoàn toàn chia sẻ). Tôi giúp ông ấy, mặc dầu kiến thức về giầy cao gót của tôi cũng rất hạn chế, và chúng tôi trở thành bạn tốt. Ông ấy hứa sẽ giúp tôi học dưới sự hướng dẫn của ông ấy khi quay trở lại Moscow. Nhưng thật đáng tiếc, ông ấy mất hai tháng sau vì bệnh tim, và thế là tôi đành ở lại với ông Gelfand.
(13) Ông đã ở nước ngoài khá lâu. Trong 20 năm gần đây ông là GS ở Rutgers, trước đó ông cũng là vísiting prof. ở đại học nam Carolina. Ông có nghĩ làm toán tại Mỹ thí dễ hơn ở Hung ?
Đối với sự nghiên cứu của tôi, thì chỗ tốt nhất là trường Etvos và viện toán học Rényi ỏ Budapest. Nnưng tôi có năm con, và nói thật với bạn, lý do duy nhất tôi ra nước ngoài là thu nhập. Sẽ có nhiều người không thích điều tôi nói, hoặc là họ nghĩ rằng tôi phải nói một lý do gì đó hay ho hơn, nhưng sự thật là tôi đi chỉ vì tiền thôi.
Tất nhiên là có những lĩnh vực của toán học mà chỉ có thể học được ở nước ngoài vào lúc đó. Tôi rất vui khi thấy nhiều bạn trẻ hôm nay đi vào những lĩnh vực quan trọng mà trong thời của Erdos còn chưa tồn tại. Có thể nửa trong số họ sẽ tiếp tục ở lại nước ngoài, nhưng nửa còn lại sẽ quay lại Hung. Chúng tôi có rất nhiều sinh viên có năng khiếu, và về mặt chuyên môn thì ở Mỹ cũng không hơn ở Hung bao nhiêu.
Tôi rất hài lòng, mặc dầu tôi không phải chuyên gia về sư phạm. Khi tôi đi nghe một bài giảng, nhiều khi tôi chẳng hiểu hết, nhưng có những sinh viên, mà qua những câu hỏi của họ, tôi có thể thấy họ nắm vấn đề một cách chắc chắn.
(15) Ông nói rằng ông đã nghỉ hưu ở đây (Budapest) rồi, vậy ông thư giãn như thế nào ?
Tôi rất thích đi dạo, nhưng gần đay hông tôi có vấn đề, nên việc này cũng hơi khó. Tôi chơi quần vợt tuần một lần, ông coach thường đánh bóng ngay trước người để tôi không phải di chuyển. Cách đây hai tháng tôi bắt đầu tập chơi ping-pong. Tôi xem nhiều phim với gia đình, hoặc đi rạp hát. Trên TV có loại thể thao gì tôi đều xem hết, tôi đã làm thế từ rất nhiều năm nay. Tôi xem bóng đá, Formula 1, bóng rổ, rồi cả những môn được coi là chán như là bóng chày. Quần vợt thì tất nhiên rồi. Tôi đánh không hay, nhưng khi xem tôi có thể biết ngay Nadal sẽ dùng đấu pháp nào. Cái này thì bạn chẳng cần là nhà toán học đâu, chỉ là một người mê thể thao là đủ.
(Lời người dịch: Ông Endre rất có năng khiếu thể thao, lại thuận bên trái. Ông ấy rất thích kể chuyện khi còn thiếu niên thi đấu bóng đá đã được Kocsis–thành viên của đội tuyển vàng Hungary những năm 50–đến xem và khen ngợi.)









Hàng năm viên toán học Clay trao giải thưởng nghiên cứu để ghi nhận những đột phá lớn trong nghiên cứu toán học. Người được giải sẽ nhận được một tác phẩm điêu khắc bằng đồng Figureight Knot Complement VII/CMI, được thiết kế bởi nhà điều khắc Helaman Ferguson.
